This Saturday, August 31st join us for this free event as part of the Dublin Maker festival in Richmond Barracks. dublinmaker.ie
The Digital Mirror: AI and the Evolution of Portraiture
The Digital Mirror is a collaboration between artist Cian McLoughlin and mathematician and neuroscientist John Butler of TU Dublin. Together, they explore the connections between art, machine learning, and neuroscience in the context of facial recognition.
Cian has a series of paintings called "Tronies," where he overlays portraits of a single subject to freely explore the diverse spectrum of human appearance (click here to view). This artistic process mirrors the way machine learning is used in facial recognition. Machine learning algorithms start by defining an average face and then subtract it from individual images to identify unique features, known as eigenfaces, which help distinguish between different people.
This method of breaking down an image and reconstructing it is akin to how our visual system works. The brain deconstructs visual information and processes it, ultimately allowing us to recognize and differentiate between faces.
Attendees can have their photos taken from various angles, and these images will be processed using a Principal Component Analysis (PCA) algorithm to decompose their faces into eigenfaces. We will explain how the algorithm and mathematics work, linking it to concepts in art and neuroscience. Each attendee will receive a unique photo of one of their eigenfaces as a personalized piece of art to take home.
Cian McLoughlin is the SFI Discover-funded Artist in residence Trinity College Institute of Neuroscience. John Butler is a Lecturer at the TU Dublin School of Mathematics and Statistics and an Adjunct Professor of Physiology at TCD.

To generate your own set of eigenfaces like those above you can try John's code for yourself. Follow this link: https://github.com/john-s-butler-dit/DigitalMirror/tree/main
Activity sheet for children:

Eigenface explanation for children:
Imagine you have a load of pictures of faces, and you want to figure out what makes each face look different or similar. Eigenfaces are like a magic tool that helps you find the common patterns in those faces.
Think of it like this: imagine you have a bunch of LEGO pieces, and you want to build different faces with them. Some pieces are used in almost every face, like the eyes or the nose. Eigenfaces are like those basic LEGO pieces that can be combined in different ways to make all the faces.
When you use eigenfaces, it's like taking all the faces you have and breaking them down into these basic pieces. Then, when you want to make or recognize a new face, you can just mix and match these pieces. This helps computers understand and recognize faces much faster and better, just like how you can quickly recognize your friends by noticing their unique features.
For a more advanced understanding on the mechanisms of face perception:
https://www.ncbi.nlm.nih.gov/pmc/articles/PMC2629401/
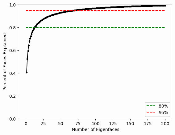
The graph below shows how John selected the number of eigenfaces to use in the algorithm to generate the eigenportraits for the event.

